Zmodyfikowana metoda dodatku wzorca w analizie rentgenofluorescencyjnej
Wstęp
Warunkiem dobrej metody analitycznej dla spektometrii rentgenofluorescencyjnej (XRF) jest uzyskanie proporcjonalności między wielkością mierzoną (natężenie promieniowania fluorescencyjnego X) i oznaczaną (stężenie analitu). Osiągnięcie takiej zależności w spektrometrii XRF było celem wielu badań prowadzonych od chwili wykorzystania tej techniki do oznaczania składu chemicznego substancji.
Zależność między zawartością analitu a zmierzoną intensywnością jego promieniowania charakterystycznego przedstawia ogólne równanie:
Wi = B + MIi
gdzie:
Wi – oznacza stężenie (udział masowy),
B – stała odpowiadająca wysokości tła,
M – oznacza czułość wyrażoną w ilościach zliczeń na sekundę przypadającą na jednostkę stężenia,
Ii – intensywność promieniowania fluorescencyjnego linii analitu.
Równanie to, przedstawiające linię prostą, jest prawdziwe tylko wówczas, gdy nie występują efekty matrycowe. Skorygowanie odstępstw od równania prostoliniowego jest celem różnych metod eliminacji efektów matrycowych. Zazwyczaj pod terminem eliminacja – rozumie się metody specyficznego przygotowania próbek do pomiaru na spektrometrze XRF, aby efekty matrycowe były znacznie osłabione (zredukowane) lub możliwe do kontroli, pomiaru, określenia i skorygowania.
W odróżnieniu od tych metod istnieją również tzw. matematyczne metody korekty, rozumiane najczęściej jako metody obliczania efektów matrycowych
i wprowadzania matematycznych korekt do zależności między intensywnością a stężeniem.
Z doświadczenia wiadomo, że nie ma metody, która skorygowałaby wszystkie możliwe błędy spowodowane efektami matrycowymi. Najkorzystniej, pod względem możliwości usunięcia efektów matrycowych, przedstawia się zastosowanie roztworów lub stopów. Niektóre metody korygują błędy mające różne inne źródła, nie tylko efekty matrycowe. Ponadto każda z metod ma pewne ograniczenia i specyficzne możliwości zastosowania w praktyce analitycznej.
Najczęściej stosowanym sposobem przygotowania spektrometru XRF do pracy jest przygotowanie aplikacji analitycznej zawierającej zbiór krzywych kalibracyjnych dla wymaganych analitów w oparciu o serie materiałów odniesienia. Celem takiej kalibracji jest wyznaczenie zależności stężenia od intensywności linii analitu. Najlepsze dopasowanie punktów wzorcowych do krzywej uzyskuje się metodą najmniejszych kwadratów. Idealnym przypadkiem jest liniowa zależność między stężeniem analitu i intensywnością jego linii, co w rzeczywistych próbkach występuje dość rzadko:
– przy próbkach typu cienkich warstw;
– podczas analizy niskich stężeń w lekkich (szczególnie organicznych)
matrycach;
– w próbkach stapianych i mocno rozcieńczonych;
– przy oznaczaniu zawartości śladowych w tej samej matrycy;
– przy bardzo wąskich zakresach stężeń.
W przypadkach, kiedy dla danego materiału w wymaganym zakresie stężeń nie można uzyskać prostoliniowej zależności trzeba zastosować odpowiednią metodę eliminacji bądź korekty efektów matrycowych.
Szczególnym przypadkiem kalibracji prostoliniowej jest metoda dodatku wzorca, polega ona na dodawaniu znanych, niewielkich ilości analitu do próbki. Metoda, wymaga nieco dłuższego czasu w celu przygotowania kilku próbek (zamiast jednej), bywa stosowana szczególnie wówczas, gdy analizowana jest próbka nietypowa, dla której nie ma odpowiednich wzorców kalibracyjnych.
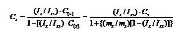
Metodę tę można najprościej zastosować do roztworów; w przypadku próbek proszkowych staje się bardziej skomplikowana w wykonaniu, gdyż wymaga dodawania analitu w takiej samej postaci, w jakiej jest on obecny w próbce. Ograniczeniem metody jest możliwość zastosowania jej jedynie do oznaczania śladowych i niskich zawartości. Metoda ta została zastosowana m. in. do oznaczania zawartości tantalu i niobu w rudach, germanu i arsenu w węglu i popiołach przez Campbella i Carla [1,2]. Skorygowane wzory dla tej metody zostały podane przez Larsena i Piersona [3]. Stężenie analitu w oryginalnej próbce można obliczyć ze wzoru:

gdzie:
Ix i Ixs– intensywności promieniowania analitu w próbce oryginalnej i z dodatkiem;
Cs – stężenia analitu w dodawanym materiale (wzorcu);
C(x) i C(s) – stężenia analitu w próbce z dodatkiem, pochodzące odpowiednio od próbki i dodanego wzorca;
mx i ms –odważki odpowiednio próbki i wzorca.
Po niewielkich przekształceniach można powyższy wzór zastosować do roztworów.
Metoda dodatku wzorca pozwala na eliminację efektu matrycowego. W literaturze opisano wiele zastosowań tej metody – ale w próbkach przygotowanych w postaci roztworu [1,2,3]. Dla próbek proszkowych, metodę tę stosowano rzadko, szczególnie z powodu zalecanego przez literaturę dodatku wzorca w takiej samej postaci jak analit występujący w próbce (a więc sproszkowany, odpowiedni związek pierwiastka będącego analitem). Takie postępowanie było czasochłonne i obarczone możliwością popełnienia błędu, wynikającego z małej odważki dodatku (rzędu kilku miligramów) oraz trudności w ujednorodnieniu całej masy próbki z dodatkiem, dlatego też było bardzo rzadko stosowane.
Jak sprawdzono doświadczalnie, dodatek analitu w innej postaci niż ten, który występuje w próbce może spowodować błąd w granicach 2-5% wartości intensywności w stosunku do intensywności spodziewanej jako efekt dodatku. Błąd tego rzędu, a nawet do 10%, przy małych stężeniach, np. poniżej 0,1%, jest
w praktyce laboratoryjnej nie tylko akceptowany, ale uznawany za poprawny.
Stosując tę zasadę przeprowadzono modyfikację metody dodatku wzorca dla próbek proszkowych, dodając do próbki proszkowej wzorzec w postaci roztworu. Dodatek wzorca w takiej postaci miał na celu uproszczenie procedury, ułatwienie rozprowadzenia dodatku w całej masie próbki i jednocześnie zmniejszenie błędu ważenia, który w przypadku małych odważek nabiera istotnego znaczenia. Masy dodatków, które wprowadzano były niewielkie, a więc błędy spowodowane efektami matrycowymi powinny być nieistotne.
Taki sposób dodatku wzorca sprawdzono w oznaczeniach siarki i chromu w żużlach, w których stężenia tych pierwiastków w żużlach są rzędu 0,00X-0,X%.
Należy tu nadmienić, że klasyczne metody analizy żużli na zawartości wymienionych pierwiastków są bardzo pracochłonne i podatne na błędy podczas operacji roztwarzania i wydzielania.
Część doświadczalna
Roztwory wzorcowe S i Cr o stężeniu 12 g/l
Kwas borowy cz.d.a.
Wyposażenie :
Młynek wibracyjny z misą stalową,Willy Bleuer
Spektrometr XRF z dyspersją fal ZSX Primus, Rigaku
W celu oznaczenia zawartości siarki i chromu metodą XRF dodatku wzorca zastosowano następującą procedurę:
Przygotowano wodne roztwory wzorcowe zawierające 12 mg pierwiastka (S i Cr)
w 1 ml roztworu, rozpuszczając odpowiednią odważkę związku cz.d.a. (6,532 g K2SO4, 3,3946 g K2Cr2O7) w 100 ml wody.
Odważkę próbki równą 2,0 g umieszczano w pojemniku młynka i na usypany materiał wkraplano pipetą 50 ml roztworu wzorcowego (co odpowiadało 0,6 mg odpowiedniego pierwiastka), następnie dodawano 0,5 ml alkoholu etylowego. Próbkę mielono przez 6 minut. Materiał po wydobyciu z pojemnika młynka suszono 10 minut na powietrzu
i prasowano w pastylkę w „naczyńku” z kwasu borowego.
W identyczny sposób przygotowywano pastylkę z próbki bez dodatku wzorca. Przeprowadzano pomiar intensywności charakterystycznego promieniowania rentgenofluorescencyjnego analitu w piku oraz tła przy piku dla pastylek z dodatkiem
i bez dodatku wzorca (roztworu wzorcowego).
Przyrost intensywności promieniowania, zmierzony w pastylce z dodatkiem wzorca odpowiadał przyrostowi stężenia analitu o 0,03% analizowanego pierwiastka. Znając intensywność promieniowania odpowiadającą stężeniu 0,03%, wyliczano stężenie analitu odpowiadające zmierzonej intensywności w próbce (bez dodatku wzorca). Identyczne wyniki można otrzymać stosując wzór zaprezentowany we wstępie.
Wyniki
W opisany sposób wyznaczono stężenia siarki i chromu w żużlach z pieca szybowego. Wyznaczone stężenia porównano ze stężeniami otrzymanymi w wyniku atestacji międzylaboratoryjnej przyprowadzonej innymi metodami (Cr metodą AAS i OES-ICP; S metodą absorpcji SO2 w podczerwieni oraz OES-ICP). Porównanie uzyskanych wyników przedstawiono w tabeli obok. W tabeli tej, zaprezentowano również tok postępowania i uzyskane poszczególne wartości pomiarowe (intensywności promieniowania fentgenofluorescencyjnego).
Podsumowanie
Można stwierdzić, że zmodyfikowana rentgenofluorescencyjna metoda dodatku wzorca pozwala na otrzymanie poprawnych wyników zawartości pierwiastków
w zakresie 0,00X-0,X%. Zaletami tej metody są:
- prosty i szybki sposób przygotowania próbki oraz próbki z dodatkiem wzorca;
- ominięcie etapów roztwarzania materiałów, bardzo trudnych do całkowitego roztworzenia;
- uniknięcie niebezpieczeństwa utraty analitu na skutek jego lotności (np. As, S) bądź nie całkowitego przeprowadzenia do roztworu (Cr).
Literatura
- Camppbell W.J.,Carl H.F., Anal.Chem. 26, 800-5 (1954).
- Camppbell W.J.,Carl H.F., Anal.Chem. 29, 1009-17 (1957).
- Larson J.A., Pierson W.R., Short M.A., Anal.Chem. 45, 616 (1973).
*Instytut Metali Nieżelaznych, Gliwice
Tabela. Dane pomiarowe oraz wyniki obliczeń uzyskane dla metody dodatku wzorca oznaczania siarki i chromu w dwóch próbkach żużla szybowego

