Oznaczanie składu chemicznego polietylu techniką TGA-GC/MS
Dr Olivier Boyron1; dr Ronan Cozic, Nicolas Fedelich2
(Mettler-Toledo)
Skład chemiczny liniowego polietylenu o niskiej gęstości został zbadany techniką TGA-IST16-GC/MS. Badane były kopolimery etylenu/octenu i etylenu/heksenu. Określono typ kopolimeru (heksen lub octen) oraz zawartość kopolimeru. Uzyskane wyniki porównano z wynikami otrzymanymi w podobnych warunkach dla próbki polietylenu o wysokiej gęstości (HDPE), która posłużyła jako materiał referencyjny. Opisana tu metoda jest szybsza i prostsza od tradycyjnych metod oznaczania składu kopolimeru takich jak spektroskopia magnetycznego rezonansu jądrowego (NMR) lub techniki rozdzielania takie jak frakcjonowanie elucyjne z podwyższaniem temperatury (TREF).
Wstęp
Polietylen o niskiej gęstości (LDPE), liniowy polietylen o niskiej gęstości (LLDPE) i polietylen o wysokiej gęstości (HDPE) są najpowszechniej używanymi na świecie polimerami syntetycznymi. Polietylen LLDPE jest otrzymywany w procesie kopolimeryzacji etylenu z α-olefiną. Powstające rozgałęzienia o krótkich łańcuchach pozwalają wpływać na krystaliczność produktu [1]. Najczęściej stosowanymi α-olefinami są 1-buten, 1-heksen i 1-octen. Pożądaną krystaliczność uzyskuje się przez różnicowanie zawartości komonomeru. Oznaczanie zawartości komonomeru i α-olefin ma duże znaczenie, ponieważ pozwala porównywać produkt y i prowadzić kontrolę jakości. Dostępnych jest wiele metod badawczych pozwalających wykonywać te oznaczenia (patrz literatura w [2]). W niniejszym artykule prezentujemy nową metodę oznaczania składu kopolimerów LLDPE zawierających różne ilości 1-heksenu i 1-octenu techniką GC/MS sprzężoną z analizatorem TGA przy pomocy interfejsu pamięci IST16.
Próbki polietylenu LLDPE
Dokonano syntezy homopolimeru etylenu(HDPE) oraz różnych kopolimerów etylenu z 1-heksenem lub 1-octenem jako komonomerami o różnym składzie. Szczegóły dotyczące zastosowanej metody syntezy można znaleźć w pozycji literaturowej [2]. Po zakończonej syntezie otrzymane polimery charakteryzowano pod względem składu molowego techniką wysokotemperaturowej chromatografii żelowej (HT-SEC) oraz pod względem zawartości komonomeru techniką spektroskopii jądrowego rezonansu magnetycznego (NMR). Rozkład komonomeru zbadano techniką frakcjonowania elucyjnego z podwyższaniem temperatury (TREF). Profile TREF potwierdziły, że wszystkie kopolimery były homogeniczne pod względem składu.
W tabeli 1 zestawiono próbki, które były syntetyzowane.
Połączenie TGA-IST16-GC/MS
Eksperymenty TGA wykonano przy pomocy systemu pomiarowego TGA/DSC 1 METTLER TOLEDO wyposażonego w czujnik DSC. Próbki o masie około 20 mg ogrzewano od 40 do 600°C w aluminiowych tyglach o poj. 150 μl z szybkością 10 K/min w azocie o szybkości przepływu 30 ml/min.
Analizator TGA podłączono do chromatografu gazowego 7890B Agilent (GC) i spektrometru mas 5977C (MSD) przez interfejs magazynujący SRA Instruments (IST16). Interfejs IST16 posiada 16 pętli, w których magazynowane są gazy powstające podczas rozkładu próbki zbierane w różnych temperaturach pieca TGA. Próbki gazowe badano oddzielnie techniką GC-MS po pomiarze TGA.

Tabela 1.
Dane charakterystyczne dla syntetyzowanych polietylenów;
- a) oznaczanie techniką HT-SEC;
- b) oznaczanie techniką NMR.

Dalsze szczegóły można znaleźć w pozycjach literaturowych [2, 3]. Związki dające piki na chromatogramach identyfikowano, korzystając z biblioteki widm masowych NIST/EPA/NIH.
Dyskusja wyników
Rozkład termiczny HDPE
(Próbka 1 w tabeli 1)
W pierwszej kolejności zbadano próbkę HDPE, która była odniesieniem. Na rysunku 1 przedstawiono stosowną krzywą TGA wraz z krzywą jej pierwszej pochodnej (DTG). Można wyciągnąć wniosek, że rozkład termiczny HDPE jest procesem jednoetapowym przebiegających w temperaturze od 430 do 500°C. Krzywej TGA użyto do określenia temperatur, w których należy zbierać różne próbki gazu (patrz tabela 2). Rozkład próbek LLDPE następuje w tym samym zakresie temperatur.
Na rysunku 2 przedstawiono kompletny chromatogram całkowitego prądu jonowego (TIC), który odzwierciedla skład produktów gazowych uwalnianych w temperaturze 480°C. Każdy pik na chromatografie odpowiada innemu związkowi. Podczas rozkładu HDPE powstają tryplety węglowodorów alifatycznych: α, ω-dien, α-alken i n-alkan (mały wykres wstawiony na rysunku 2 przedstawia tryplet C10). Głównymi emitowanymi związkami są alkany i alkeny. Najczęściej emitowane tryplety zawierają 9 i 10 atomów węgla.
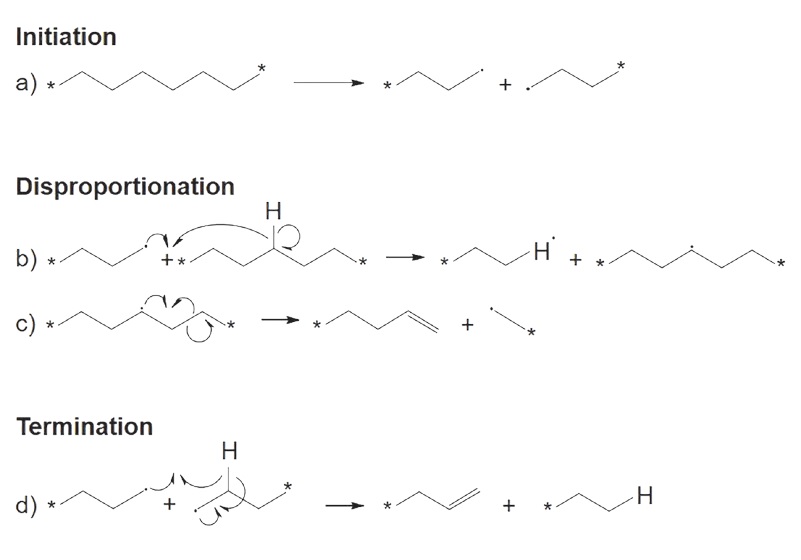
Rozkład termiczny polietylenu jest rodnikową reakcją łańcuchową zachodzącą w trzech etapach (patrz także rysunek 3):
- Inicjacja: rozkład zaczyna się od reakcji termicznego pękania łańcuchów homolitycznych w losowych punktach szkieletu łańcucha, w wyniku czego powstają dwa rodniki (rysunek 3a).
- Dysproporcjonacja: po powstaniu rodników następuje dysproporcjonacja polimerów z reakcją przeniesienia wodoru. Prowadzi to do powstania fragmentu n-alkanu i nowego rodnika (rysunek 3b). Rodniki mogą ulegać rozkładowi do fragmentów α-alkenowych w procesie rozszczepienia β (rysunek 3c).
- Zakończenie: dwa rodniki mogą ze sobą reagować przez sprzęganie lub dysproporcjonację, w wyniku czego powstają fragmenty alkanowe i alkenowe (rysunek 3d).
Mechanizmy te wyjaśniają powstawanie fragmentów n-alkanowych i α-alkenowych obserwowanych podczas termicznego rozkładu HDPE.

Rysunek 1.
Krzywa TGA i krzywa pierwszej pochodnej (DTG) polietylenu HDPE (próbka 1).

Rysunek 2.
Główny wykres: chromatogram całkowitego prądu jonowego (TIC) dla HDPE w temperaturze 480°C. Każdy pik na chromatografie odpowiada innemu związkowi. Wykres wstawiony: przykładowy tryplet Cx (x = 10): α, ω- dien, α-alken i n-alkan.
Na rysunku 4 przedstawiono profile emisyjne najważniejszych alkenów i alkanów obserwowanych podczas eksperymentu TGA-IST-GC/MS. Aby uzyskać te profile, dla będących przedmiotem zainteresowania produktów rozkładu alkanów i alkenów (od C4 do C11) obliczono powierzchnie pików z widm masowych dla każdej temperatury, po czym sporządzono dla nich wykres w funkcji temperatury. Wykryto także niewielkie ilości związków cyklicznych takich jak cyklopropan, cyklopenten, toluen, benzen, cykloheksen, cykloheksan i cyklopentan.
Termiczny rozkład kopolimerów etylenu/octenu
W porównaniu do chromatogramu HDPE, na chromatogramie uzyskanym dla próbek kopolimeru etylenu/ octenu widoczny jest znacznie większy pik C6. Widać to wyraźnie na rysunku 5, który przedstawia chromatogram dla próbki 4 w temperaturze 480°C. Na rysunku 6 przedstawiono profile emisyjne kopolimerów etylenu/octenu oraz porównanie profili emisyjnych dla fragmentów C6 dla różnych zawartości octenu (próbka 2: 0,6 mol%; próbka 3: 1,7 mol%; próbka 4: 5,6 mol%). Na rzędnej wykreślono sumy intensywności pików dla m/z 41 dla odpowiednich fragmentów alkanowych i alkenowych (od C6 do C10). Na wykresach widać wyraźny wzrost intensywności fragmentów C6 wraz z rosnącą zawartością octenu. Fragmenty C6 stanowią zatem wskaźnik dla kopolimerów etylenu/ octenu.
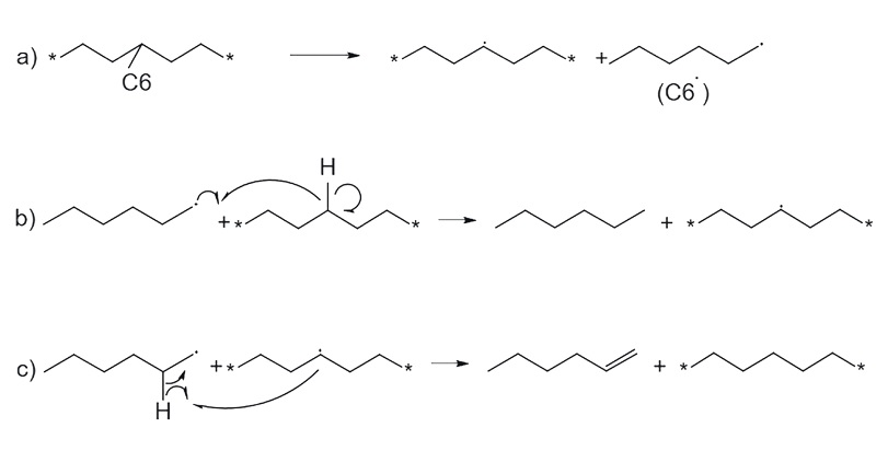
Można to wyjaśnić w następujący sposób. Łańcuchy polimerowe są rozrywane chętniej przy odgałęzieniach. W kopolimerach etylenu/octenu występują odgałęzienia heksylowe (C6). Liczba fragmentów C6 rośnie znacząco w związku z rozszczepianiem tych rozgałęzień. Zgodnie z mechanizmem zaproponowanym na rysunku 7, za powstawanie tych fragmentów odpowiedzialne są rozszczepienia α przy czwartorzędowym atomie węgla.

Rysunek 3.
Rozkład HDPE i powstawanie alkenów i alkanów;
- a) rozszczepienie termiczne HDPE na dwa rodniki;
- b) międzycząsteczkowe przeniesienie wodoru prowadzi do powstania fragmentów alkanowych
- c) rozszczepienie β rodników i powstawanie fragmentów α-alkenowych;
- d) dysproporcjonacja rodnikowa: 2 rodniki tworzą fragment alkanowy i alkenowy.

Rysunek 4.
Profile emisyjne fragmentów alkenowych (góra) i alkanowych (dół) oraz krzywa TGA (czarna, lewa oś rzędna).

Rysunek 5.
Chromatogram całkowitego prądu jonowego (TIC) dla m/z 41 dla kopolimeru etylenu/ octenu o zawartości octenu 1,7 mol%.
Termiczny rozkład kopolimerów etylenu/heksenu
Jeśli fragmenty C6 są charakterystyczne dla rozkładu kopolimerów etylenu/ octenu, można racjonalnie oczekiwać, że fragmenty C4 występują preferencyjnie jako produkty rozkładu kopolimerów etylenu/heksenu.
Analiza TGA-IST-GC/MS próbek od 5 do 8 wykazała, że w porównaniu do próbki referencyjnej (HDPE) pojawiła się zwiększona liczba fragmentów butanu i 1-butenu w zależności od zawartości heksenu. Tak jak w przypadku fragmentów C6, fragmenty C4 również powstają w związku z rozszczepieniem łańcuchów po stronie butylu obecnych w kopolimerach etylenu/heksenu. Na rysunku 8 przedstawiono profile emisyjne dla fragmentów od C4 do C10 dla różnych próbek kopolimeru etylenu/heksenu.
Kalibracja
Należy zapewnić odpowiednią standaryzację wyników, aby zmierzone intensywności dla fragmentów C4 i C6 były przydatne do ilościowego oznaczania zawartości olefin. Aby osiągnąć ten cel, użyto pików dekanu i 1-dekenu jako wzorców specyficznych dla badanych próbek. Zaletą tego podejścia jest to, że parametry, które mogą mieć wpływ na rozkład polimeru (np. masa próbki, przepływ gazu, tygiel) i kondycja instrumentu pomiarowego (np. czystość tras przenoszenia) nie mają wpływu na wyniki. Przesłanką uzasadniającą wybór dekanu i 1-dekenu jako wzorców jest to, że obie substancje powstają podczas rozkładu szkieletu polimeru niezależnie od zawartości komonomeru.
Haksan i 1-heksem można oddzielić na chromatogramach kopolimerów etylenu/ octenu (próbki od 2 do 4). Można dzięki temu utworzyć dwie oddzielne „krzywe kalibracji”. Dla kopolimerów etylenu/heksenu (próbki od 5 do 8) utworzyć można tylko jedną krzywą kalibracji: fragmentów butanowych i 1-butenowych nie można rozdzielić techniką GC/MS.
Powierzchnie pików profili emisyjnych heksanu, 1-heksenu i C4 (suma butanu i 1-butenu) znormalizowano przy pomocy odpowiedniej powierzchni piku C10. Tak uzyskane wartości skorygowano zgodnie z równaniem po lewej, korzystając z referencyjnych pomiarów HDPE dla rozkładów typowych dla nierozgałęzionego polietylenu.
Gdzie:
Kx krzywe kalibracji dla monomerów octenu (x to heksan lub 1-heksen) i heksenu (x to C4)
Cx,10 LLDPE powierzchnia piku dla heksanu, 1-heksenu lub C4 (suma intensywności pików dla butanu i 1-butenu) dla próbek od 2 do 8
Cx,10 HDPE powierzchnia piku dla dekanu, 1-dekenu lub C10 (suma intensywności pików dla dekanu i 1-dekenu) dla próbki 1
W ten sposób, dodatkowe fragmenty, które pojawiają się w następstwie rozkładu łańcuchów bocznych stają się względną miarą kalibracji. Na rysunku 9 przedstawiono te krzywe kalibracji w funkcji zawartości komonomeru oznaczonej techniką NMR (z tabeli 2).

Rysunek 6
Profile emisyjne dla kopolimerów etylenu/octenu oraz porównanie profili emisyjnych dla fragmentów C6 dla różnych zawartości octenu (próbka 2: 0,6 mol%; próbka 3: 1,7 mol%; próbka 4: 5,6 mol%). Rzędne przedstawiają sumy intensywności pików dla m/z 41 dla odpowiednich fragmentów alkanowych i alkenowych.

Rysunek 7.
Powstawanie fragmentów heksanowych i heksenowych w kopolimerze etylenu/octenu;
- a) rozszczepienie łańcucha α przy czwartorzędowym atomie węgla;
- b) międzycząsteczkowe przeniesienie wodoru prowadzi do powstania fragmentów alkanowych;
- c) dysproporcjonacja rodnikowa: 2 rodniki tworzą fragment alkanowy i heksanowy.
Te dwie krzywe kalibracji dla kopolimerów etylenu/octenu pozostają w dobrej zgodności ze sobą. Krzywe kalibracji są wrażliwe na niewielkie zmiany zawartości komonomeru, szczególnie w przypadku niskich zawartości olefin.
Wnioski
Przeprowadzono ocenę natury i stopnia rozgałęziania krótkołańcuchowego w próbkach LLDPE techniką TGA-IST16- GC/MS. Metodę zastosowano dla dwóch rodzajów LLDPE własnej produkcji, a mianowicie etylenu/heksenu i etylenu/octenu. Główną zaletą tej metody jest to, że umożliwia ona identyfikowanie i ilościowe oznaczanie różnych produktów rozkładu LLDPE pomimo bardzo złożonego mechanizmu rozkładu. Pokazano, że fragmenty C4 lub C6 są charakterystyczne odpowiednio dla kopolimerów etylenu/heksenu i etylenu/octenu. Zawartość komonomeru można oznaczyć za pomocą krzywej kalibracji. Metoda ta wydaje się być przydatną alternatywą dla tradycyjnej analizy, która w przypadku tego polietylenu wymaga wysokich temperatur, toksycznych rozpuszczalników i długich czasów rozpuszczania.
Obecnie recykling odpadów z tworzyw sztucznych stanowi poważne wyzwanie i ma krytyczne znaczenie dla środowiska. Podejście opisane w niniejszym artykule można z powodzeniem stosować w procesach recyklingu po etapach rozdzielania (flotacja, magnesy, prądy wirowe, itp.) do identyfikacji różnych rodzajów polietylenu, który ma być poddany recyklingowi.

Rysunek 8.
Profile emisyjne kopolimerów etylenu/heksenu (próbki od 5 do 8). Rzędne przedstawiają sumy intensywności pików dla m/z 41 dla odpowiednich fragmentów alkanowych i alkenowych.

Rysunek 9.
Krzywe kalibracji dla a) kopolimerów etylenu/octenu dla fragmentów heksenowych i heksanowych
- b) kopolimerów etylenu/heksenu (fragmenty C4).
Literatura
[1] M. M. Stalzer, M. Delferro, T. J. Marks, Catal. Lett. 2015, 145, 3.
[2] O. Boyron, R. Cozic, Macromol. Chem. Phys. 2019, 1900162.
[3] N. Fedelich, Termograwimetria i analiza gazów, część 4: UserCom 48, 1–7.
1 Université de Lyon, Univ. Lyon 1, CNRS, CP2M, Bat 308F, 43 Bd du 11 Novembre 1918, 69616 Villeurbanne, Francja
2 SRA Instruments, 210 rue des Sources, 69280 Marcy l’Etoile, Francja
Więcej informacji:
www.mt.com/ta-ega
