Statystyczne metody opracowania danych badań biegłości (PT)
Laboratorium powinno mieć procedury sterowania jakością w celu monitorowania miarodajności podejmowanych badań i wzorcowań. Uzyskiwane dane powinny być zapisywane w taki sposób, aby było możliwe śledzenie kierunków ich zmian oraz, jeżeli to możliwe, powinny być stosowane techniki statystyczne w celu przeglądu wyników.
Monitorowanie powinno być planowane i poddawane przeglądom, i może obejmować, nie ograniczając się do tego:
a) regularne korzystanie z CRM i/lub wewnętrzne nadzorowanie jakości z wykorzystaniem wtórnych materiałów odniesienia;
b) udział w programach porównań międzylaboratoryjnych lub programach badań biegłości….;”
Tak brzmiący pkt. 5.9 normy PN-EN ISO/IEC 17025:2005 narzuca na akredytowane lub starające się o uzyskanie akredytacji laboratoria obowiązek posiadania procedur sterowania jakością, zapewniających stałe monitorowanie miarodajności wyników badań dostarczanych klientom. Jednym z istotnych narzędzi służących temu monitorowaniu jest udział w badaniach biegłości.Dlatego też większość organizacji oceniających kompetencje techniczne laboratoriów wymaga lub oczekuje satysfakcjonujących osiągnięć w programach badania biegłości jako istotnego potwierdzenia zdolności laboratorium do uzyskiwania wiarygodnych wyników.
W dokumencie PCA DA-05 „Polityka Polskiego Centrum Akredytacji dotycząca wykorzystywania badań biegłości/porównań międzylaboratoryjnych w procesach akredytacji i nadzoru laboratoriów” czy EA „Wytyczne dotyczące poziomu i częstości uczestnictwa w badaniach biegłości” znajdziemy szczegółowe zasady uczestnictwa laboratoriów w badaniach biegłości.
Mimo że badania biegłości mają wielu użytkowników, dotyczą różnorodnych obiektów badań, mierzonych cech, a także są w rozmaity sposób planowane, projektowane i realizowane, istnieją podstawowe zasady, którymi powinny kierować się jednostki czy instytucje organizujące takie badania. Warunek regularnego uczestnictwa laboratoriów w programach badania biegłości jest jednym z podstawowych elementów oceny kompetencji technicznych laboratoriów. Dlatego niezbędne jest aby prowadzący takie programy działali zgodnie z zasadami dotyczącymi prowadzenia profesjonalnie zarządzanych programów badania biegłości, zarówno w rozumieniu wymagań technicznych jak i procedur statystycznych oraz zarządzania jakością. Zatem podstawowym warunkiem gwarantującym skuteczność badań biegłości i spełnienie zamierzonych celi jest kompetencja organizatorów PT i zapewnienie, że ich programy spełniają określone wymagania dotyczące poszczególnych etapów realizacji badań biegłości. PCA w dokumencie DAPT-01 „Akredytacja organizatorów badań biegłości. Wymagania szczegółowe” określiła wymagania akredytacyjne do oceny i potwierdzenia kompetencji organizatorów badań biegłości. W dokumencie EN ISO/IEC 17043:2010 „Ocena zgodności. Ogólne wymagania dotyczące badania biegłości”, stanowiącym podstawowe wymagania akredytacyjne dla organizatorów badań biegłości, znajdziemy takie wytyczne i zasady a także kryteria, które organizator programów badania biegłości powinien spełniać aby zostać uznanym za kompetentnego do oferowania określonych rodzajów programów PT.
Realizacja poszczególnych typów badań biegłości może różnić się w zależności od rodzaju obiektu badań, wykorzystywanych metod, badanych parametrów i liczby laboratoriów biorących w nich udział. Jednak zazwyczaj wspólną cechę programów PT stanowi porównywanie wyników otrzymywanych przez jedno laboratorium z wynikami uzyskanymi w innym laboratorium lub większej liczbie laboratoriów. W niektórych programach, jedno z uczestniczących laboratoriów może pełnić rolę laboratorium koordynującego lub laboratorium referencyjnego.
Analiza statystyczna wyników uzyskanych w trakcie badań biegłości, wybór odpowiednich testów i rozwiązań zależy od wybranego rodzaju programu PT. Odpowiednie dokumenty precyzują sposoby postępowania w przypadku określonego rodzaju badań. Pomocnym dokumentem normatywnym poświęconym problematyce wykorzystania metod statystycznych w programach PT jest ISO 13528:2005 „Statistical methods for use in proficiencytesting by interlaboratorycomparisons” ale niezbędnych informacji należy też szukać między innymi w takim dokumencie jak IUPAC Technical Report „The internationalharmonizedProtocol for the proficiencytesting of analitycalchemistry laboratories” czy w normie EN ISO/IEC 17043:2010„Ocena zgodności. Ogólne wymagania dotyczące badania biegłości”.
Cechą charakterystyczną jest to, że we wszystkich badaniach biegłości zastosowany model statystyczny obejmuje cztery wspólne etapy oceny wyników uczestników:
- wyznaczenie wartości przypisanej
- obliczenie statystycznych wskaźników charakteryzujących uzyskane rezultaty
- ocena osiągniętych rezultatów
- wstępna ocena jednorodności i stabilności obiektu badań
Istnieje kilka możliwych procedur, które organizator może zastosować w celu określenia wartości przypisanej i jej niepewności. Wszystkie mają swoje słabe i mocne strony. Wybór właściwej metody ustalania wartości przypisanej dla danego programu badania biegłości a nawet rund w obrębie jednego programu będzie przede wszystkim zależał od założonego celu programu. Przy wyborze właściwej procedury organizator powinien rozważyć między innymi następujące kwestie:
- poniesione koszty przez organizatora oraz uczestników programu – wysokie koszty mogą oczywiście odstraszać potencjalnych uczestników, a zmniejszająca się populacja uczestników w znacznym stopniu wpływa na skuteczność w realizacji założonych celów programu;
- specyficzne wymagania, uregulowania prawne narzucone przez laboratoria referencyjne czy organizacje stanowiące;
- niezależność wyznaczonej wartości przypisanej – daje to możliwość rzetelnej oceny obciążenia dla populacji jako całości;
- specyficzne wymagania dotyczące zachowania spójności pomiarowej.
Biorąc pod uwagę powyższe kwestie a także kierując się zamierzonymi celami programu organizator może wybrać następujące metody określania wartości przypisanej:
- Stosowanie znanych wartości. Wartość przypisana wynika ze sposobu przygotowania obiektu badań (np. produkcja lub rozcieńczanie). Sposób przygotowania obejmuje dodanie znanej wartości czy stężenia analitu do matrycy nie zawierającej tego analitu. Istnieje kilka zagrożeń negatywnie wpływających na ten typ badań, mianowicie:
- matryca musi być skutecznie pozbawiona badanego analitu, jeśli nie jest to jego stężenie musi być dokładnie znane;
- problem z zagwarantowaniem właściwej jednorodności materiału, zwłaszcza kiedy ilości śladowe analitu są dodawane do materiału w postaci stałej;
- dodany analit może być słabiej związany z matrycą niż to ma miejsce w przypadku analitów naturalnie występujących w typowych próbkach, a to będzie skutkować nienaturalnie wysokim odzyskiem.
- Stosowanie certyfikowanych materiałów odniesienia – wartość przypisana określona bezpośrednio. Prosta i szybka procedura, która jak żadna inna gwarantuje niezależność wartości przypisanej od poszczególnych wyników uczestników. Właściwa spójność pomiarowa jest również automatycznie potwierdzona, z definicji certyfikowanych materiałów odniesienia. Niestety procedura rzadko stosowana, ze względu na wysokie koszty organizacji tego typu programu badania biegłości.
- Stosowanie wartości odniesienia – wyznaczonych drogą analizy, pomiaru lub porównania obiektu badań z materiałem odniesienia lub wzorcem, mającym odniesienie do wzorca krajowego lub międzynarodowego.
- Wartości uzgodnione na podstawie wyników laboratoriów wiodących. Wartość przypisana jest określona przez konsensus grupy laboratoriów eksperckich (które mogą być, w niektórych wypadkach laboratoriami odniesienia), które powinny mieć kompetencje do wyznaczania badanej wielkości mierzonej(-ych) i stosować zwalidowane metody o znanej, wysokiej precyzji i dokładności, porównywalne z metodami ogólnie stosowanymi. Wysiłek i koszty poniesione przy tego rodzaju określaniu wartości przypisanej z oczekiwaną dla niej małą niepewnością mogą być porównywalne z tymi przy zastosowaniu certyfikowanych materiałów odniesienia. Istnieje duże ryzyko, że jeśli laboratoria wiodące stosują do analizy obiektów badań biegłości procedury rutynowo stosowane, rezultat może nie być lepszy od wyniku uzyskanego z danych otrzymanych przez wszystkie uczestniczące laboratoria. Ponadto, jeżeli populacja laboratoriów uczestniczących w określaniu wartości przypisanej jest nieliczna to niepewność otrzymanej wielkości może być zbyt duża i nieadekwatna do zamierzonego celu badań.
- Wartości uzgodnione na podstawie wyników laboratoriów uczestniczących. Obecnie najszerzej stosowany sposób określania wartości przypisanej. Bez wątpienia jednym z powodów tak częstego zastosowania tej procedury są jej niskie koszty, bowiem ustalenie wartości nie wymaga żadnego dodatkowego nakładu pracy. Najważniejszym argumentem przemawiającym za sceptycznie nastawionymi do tego typu rozwiązań jest silna zależność oszacowanej wartości przypisanej od wyników uczestników. Brak niezależności może powodować dwa niepożądane efekty:
- obciążenie populacji jako całości może być określone w niewłaściwy sposób, skoro wartość przypisana zależy od wyników uczestników;
- w przypadku kiedy większość wyników jest w znacznym stopniu obciążonych i fałszuje prawdziwy rezultat wartości przypisanej, uczestnicy, których rezultaty są nieobciążone mogą nieuczciwie otrzymać ekstremalne wartości statystyki osiągnięć.
Ryzyko niewłaściwej oceny rośnie kiedy grupa uczestników biorących udział w badaniach jest niewielka. Kiedy liczba uczestników jest mniejsza niż 15, niepewność wartości przypisanej określonej w powyższy sposób jest zbyt duża i informacje płynące z oszacowanych wartości wskaźnika z są zafałszowane.
Jeżeli nasze rozważania ograniczymy tylko do danych ilościowych, to wartością przypisaną może być:
- średnia, która może być ważona lub przekształcona;
- mediana, moda lub inna mocna miara.
Organizator powinien określić i stosować odpowiednie procedury do identyfikowania i/lub postępowania z wartościami odstającymi, zwłaszcza kiedy wyniki uczestników są wykorzystywane do oznaczania wartości przypisanej. Norma ISO 13528:2005 zaleca aby wpływ wyników skrajnych na opracowania statystyczne został wyeliminowany poprzez zastosowanie odpornych metod statystycznych. Oczywiście, wyniki uznane za odstające powinny zostać usunięte tylko do obliczeń statystyki zbiorczej natomiast powinny być poddane analizie za pomocą statystyki osiągnięć. Zgodnie z wytycznymi normy określenie wartości przypisanej i jej niepewności w przypadku wartości uzgodnionych przez laboratoria wiodące a także na podstawie wyników laboratoriów uczestniczących przebiega z zastosowaniem odpornego algorytmu szacowania średniej i odchylenia standardowego, minimalizującego wpływ wyników skrajnych („Algorytm A”).
Standardowa niepewność wartości przypisanej wyznaczonej metodą wartości uzgodnionych przez laboratoria wiodące obliczana jest ze wzoru (1):

gdzie:
µi – standardowe niepewności wyników laboratoriów
p – liczba laboratoriów
Niepewność wartości przypisanej wyznaczonej z wyników uczestniczących laboratoriów przyjmuje postać:

gdzie:
p – liczba laboratoriów
s* – odporne odchylenie standardowe wyznaczone przez zastosowanie „AlgorytmuA”
W pozostałych omawianych przypadkach, niepewności wartości przypisanej określa się zgodnie z prawem propagacji niepewności i procedurami GUM czy na podstawie informacji zawartych w certyfikacie materiału odniesienia.
Podstawą do statystycznej oceny danego laboratorium uczestniczącego są parametry statystyki indywidualnej sprawności. Poniżej przedstawiono najczęściej stosowane statystyczne parametry oceny danych ilościowych wraz z interpretacją i odpowiednimi kryteriami akceptacji uzyskanych rezultatów.
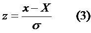
- Wskaźnik z

gdzie;
x – wynik laboratorium
X – wartość przypisana
s – odchylenie standardowe dla oceny biegłości
Nowy pojawiający się w mianowniku wzoru (3) parametr σ jest odpowiednią estymatą/miarą zmienności, którą wybiera się by spełnić odpowiednie założenia i wymagania programu. I tak możemy wyróżnić kilka sposobów wyznaczania odchylenia standardowego dla oceny badania biegłości:
a) wartość przyjęta na podstawie specyficznych wymagań, np. aktów prawnych;
b) wartość przyjęta tak, aby spełnić określone parametry np. zgodna z oczekiwaną biegłością
laboratoriów;
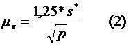
c) na podstawie modelu ogólnego odtwarzalności metody pomiarowej, np. z krzywej Horwitz’a;

gdzie: c – stężenie analitu w g/g
d) z danych otrzymanych w badaniach biegłości. Odchylenie standardowe dla celu badań biegłości jest równe odpornemu odchyleniu standardowemu wyników uczestników;
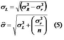
e) z wyników badań precyzji. Dla metod znormalizowanych, z danych dotyczących powtarzalności i odtwarzalności:

gdzie:
σR – odchylenie standardowe odtwarzalności
σr – odchylenie standardowe powtarzalności
n – liczba powtórzeń wykonanych przez każde laboratorium
Każdorazowo o wyborze odpowiedniego odchylenia standardowego powinien decydować koordynator zgodnie z założeniami i celami poszczególnych programów badań.
Tego typu wskaźnika miary osiągnięć nie należy stosować w przypadku kiedy liczba uczestniczących laboratoriów jest mniejsza niż 10. W przypadku tak małej populacji istnieje duże prawdopodobieństwo, że niepewność wartości przypisanej nie spełnia krytycznego warunku:
µx ≤ 0,3 σ (6)
a co za tym idzie jest zbyt istotna statystycznie aby ją pominąć w statystyce osiągnięć. W tym wypadku sugeruje się stosowanie innych wskaźników, które uwzględniają wpływ niepewności wartości przypisanej na ocenę osiągnięć rezultatów działania uczestników.
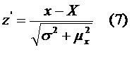
- Wskaźnik z’
Może być używany zamiast wskaźnika z jeśli µx nie spełnia granicznego warunku określonego w równaniu (6).

gdzie:
σ – odchylenie standardowe dla oceny biegłości
mx – niepewność standardowa wartości przypisanej X
x – wynik uczestnika
X – wartość przypisana
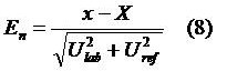
- Liczba En
Zwykle stosowane w programach porównań pomiarów.
– wymaga znajomości rozszerzonej niepewności obliczonych przez laboratoria,
– stosuje się w celu określenia czy laboratorium dobrze szacuje niepewność,

gdzie:
Ulab – niepewność rozszerzona wyniku uczestnika
Uref – niepewność rozszerzona wartości przypisanej wyznaczonej przez laboratorium referencyjne
x – wynik uczestnika
X – wartość przypisana wyznaczona przez laboratorium referencyjne
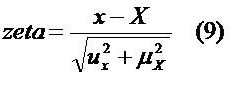
- Wskaźnik zeta

gdzie:
mx – niepewność standardowa wyniku uczestnika x
mX– niepewność standardowa wartości przypisanej X
x – wynik uczestnika
X – wartość przypisana
Należy jednak pamiętać, że jeśli stosujemy wskaźniki oceny osiągnięć uwzględniające oszacowane przez uczestników niepewności pomiarowe (np. liczba En lub zeta), to ma to sens wówczas jeśli niepewności zostały oszacowane w ten sam sposób przez wszystkich uczestników, np. według wytycznych ISO/IEC Guide 98-3.
Ocena osiągnięć rezultatów działania uczestników odbywa się głównie poprzez analizę otrzymanych przez uczestników wartości wskaźników, zastosowanych w programie PT. Dla każdego z wymienionych wskaźników przypisane są następujące kryteria akceptacji rezultatów:
- Dla wskaźników z grupy z
│z│≤2 – wynik zadowalający
3>│z│>2 – wynik wątpliwy, należy go potraktować jako wartość ostrzegawczą
│z│≥3 – wynik niezadowalający, należy podjąć akcję korygującą
- Dla liczby En
│En│≤1 – wynik zadowalający
│En│>1 – wynik niezadowalający
Zaleca się stosowanie graficznej prezentacji osiągniętych rezultatów działania uczestników, np. w formie histogramów, słupkowych wykresów błędu czy kart uporządkowanych wskaźników z. Graficzna prezentacja może być wykorzystywana między innymi do przedstawienia rozkładu wartości uzyskanych przez uczestników, porównania rozkładów danych i rezultatów otrzymanych różnymi metodami czy powiązań między wynikami obiektów badań wielokrotnych czyli takich kiedy w danej rundzie istnieje więcej niż jeden obiekt badań dla danej wielkości mierzonej.
Organizator powinien być w stanie wykazać, że obiekty badania biegłości są dostatecznie jednorodne dla konkretnego programu badań biegłości – na taką potrzebę wskazują wymagania normy EN ISO/IEC 17043:2010, dotyczące ostatniego etapu założonego przez nas ogólnego modelu statystycznego stosowanego w PT. Problematyka związana ze wstępnym potwierdzaniem jednorodności wysyłanych do uczestników obiektów badań a następnie z badaniem ich stabilności w funkcji czasu jest w niektórych przypadkach kłopotliwa i trudna w realizacji. Ponieważ tematyka ta wymaga poważnego potraktowania i może wykraczać poza ramy przewidziane dla tego artykułu, będzie ona poruszona oddzielnie w następnej części cyklu poświęconego PT.
Powyżej przedstawiono podstawy i krótki zarys możliwych do zastosowania w analizie danych badań biegłości metod statystycznych. Więcej szczegółowych informacji przydatnych przy wyborze odpowiedniego do zastosowanego programu PT modelu statystycznego znajduje się między innymi w cytowanych w tekście dokumentach normatywnych.
Iwona Madejska
Z-ca kierownika ds. jakości CLPB Jastrzębie Zdrój
Kierownik techniczny badań biegłości z zakresu badań fizykochemicznych węgla i popiołu z węgla
