Preparaty kosmetyczne na bazie ekstraktu z babki lancetowatej
W pracy przedstawiono charakterystykę babki lancetowatej. Omówiono składniki czynne w niej zawarte. Podkreślono znaczenie babki lancetowatej, jako surowca w technologii kosmetyków.
Produkty kosmetyczne pochodzenia naturalnego, czyli tak zwane kosmetyki naturalne, stały się w ostatnich latach najdynamiczniej rozwijającą się grupą kosmetyków. Jest to związane z coraz bardziej powszechną niechęcią konsumentów do stosowania produktów kosmetycznych zawierających substancje syntetyczne [1].
Fitokosmetyki w ostatnim czasie cieszą się największą popularnością wśród kosmetyków naturalnych. Wzrost zainteresowania konsumentów kosmetykami zawierającymi określone substancje pochodzenia roślinnego, spowodował wzrost zainteresowania przedsiębiorstw zielarskich tą gałęzią przemysłu, a także produkcji na większą skalę ekstraktów kosmetycznych [2].
Ekstrakty roślinne są pozyskiwane na drodze ekstrakcji rozdrobnionego surowca przeprowadzonej przy użyciu rozpuszczalnika [3].
Babka lancetowata jest znanym, pospolitym chwastem, z której ekstraktu można wyizolować cały szereg substancji czynnych. Surowcem zielarskim tego gatunku są zarówno liście, korzenie jak i cała roślina. Dzięki zawartości dużej ilości glikozydów irydoidowych i glikozydów fenetylowych babka ta jest bardzo cennym produktem stosowanym w przemyśle farmaceutycznym i kosmetycznym [4]. Ekstrakty alkoholowe i wodne stosuje się do sporządzania syropów i tabletek stosowanych do łagodzenia stanów zapalnych górnych i dolnych dróg oddechowych. Suche ziele stosowane jest do produkcji mieszanek ziołowych stosowanych w leczeniu chorób układu trawiennego i moczowego [5]. Od jakiegoś czasu ziele babki lancetowatej stosowane jest także w kosmetyce. Właściwości bakteriobójcze, antybiotyczne, ściągające i wspomagające regenerację naskórka wykorzystuje się w kosmetykach dostosowanych do cery trądzikowej i preparatów do higieny intymnej, natomiast funkcje odżywcze, zmniejszające opuchliznę, w preparatach przeciwzmarszczkowych i kosmetykach do pielęgnacji skóry wokół oczu i powiek [3].
1.Charakterystyka surowca
1.1.Systematyka
Babka lancetowata, babka wąskolistna (Plantago lanceolata L.) jest to bylina z rodziny Babkowatych (Plantaginaceae). Nazwa gatunkowa lanceolata związana jest z kształtem blaszki liściowej [3]. Według niektórych systemów zaliczyć ją można do rodziny trędownikowatych Scrophulariaceae lub przetacznikowatych Veronicaceae [5]. Rodzaj Plantago obejmuje ponad 200 gatunków roślin. Oprócz babki lancetowatej właściwości lecznicze wykazują także babka większa (P. major), babka piaskowa (P. arenaria) i babka średnia (P. media) [6].
1.2. Występowanie
Plantago lanceolata jest to roślina, której zasięg obejmuje prawie całą Europę, północną i środkową Azję. Powszechna jest także w Polsce gdzie zasiedla obszary łąk, pastwisk, miedz i wzgórz. Jest ogólnie znanym, pospolitym chwastem występującym w szczególności w uprawach koniczyny i lucerny, lnu, ozimego i jarego zboża [7]. Ze względu na stosowanie środków chwastobójczych – herbicydów jej naturalne zasoby ciągle maleją. Jest to zjawisko na tyle powszechne, iż coraz częściej roślina ta wprowadzana jest do uprawy [8].
Babka lancetowata rośnie na czarnoziemach, glebach lekkich, gliniasto-piaszczystych i przewiewnych. Rozmnażana jest na jesieni lub na wiosnę, głównie
z nasion albo też z kawałków kłączy [9].
Ze względu na niezwykłe właściwości lecznicze babki lancetowatej uprawia się ją o0brcnie na dużą skalę. Opracowuje się także nowe metody rozmnażania, tzw. mikrorozmnażanie in vitro, poprzez organogenezę bezpośrednią i pośrednią z zastosowaniem fragmentów rośliny [7]. Uzyskano także hodowle korzeni transformowanych z gatunku P. lanceolata [10]. Rozwój biotechnologii umożliwił otrzymywanie nieograniczonej liczby roślin potomnych, które wykazują takie same lub bardziej korzystne profile produkcji substancji aktywnych w porównaniu z rośliną macierzystą [11].
2. Składniki aktywne ekstraktu
Ekstrakt pozyskiwany z ziela babki lancetowatej jest źródłem wielu aktywnych substancji. W przypadku tej rośliny za związki czynne uważane są głównie metabolity wtórnej przemiany materii. W śród nich wymienić można następujące grupy związków: irydoidy (aukubina, katalpol), glikozydy fenetylowe (akteozyd, plantamajozyd) i flawonoidy (np. luteolina) [11]. Liście Plantago lanceolata zawierają także garbniki, kwasy organiczne, substancje śluzowe, pektyny i sole mineralne [7]. Roślina ta jest także źródłem fitosteroli: sitosterolu, stigmasterolu i kampesterolu [5].
2.1 Glikozydy irydoidowe
Irydoidy są to substancje roślinne zbudowane z pierścieni cyklopentanu oraz α-pironu. Związki te mają charakter monoterpenów cyklopentanowych. Powstają na drodze syntezy związków terpenowych [12]. Po raz pierwszy wyizolowano je z wydzieliny obronnej mrówek Irydomyrmex, z stąd nazwa irydoidy. Do tej grupy substancji zaliczyć można substancje o prostej budowie np. grupę nepetolaktonu, a także substancje złożone o charakterze glikozydowym i estrowym [13]. W babce lancetowatej obecne są złożone irydoidy, do których zaliczyć można aukubinę (aukubozyd), katalpol, globularynę i asperulozyd [5]. W zielu rośliny występuje tekże kwas genipozydowy [14].
Aukubina została po raz pierwszy wyizolowana przez Bourquelota i Herisseya w 1905 roku z liści Aucuba japonica rośliny z rodziny Cornaceae [15]. Budowę chemiczną aukubozydu przedstawia rysunek poniżej (rys. 1).

Można wyróżnić dwie pochodne aukubiny: ester z kwasem p-metoksycynamonowym, a także ester z kwasem p-hydroksycynamonowym. Grupa –OH w tych pochodnych tworzy ester w pozycji 6 [12].

Kolejnym irydoidem wyizolowanym z ziela babki lancetowatej jest katalpol (rys. 2). Związek ten ma mostek epoksydowy pomiędzy 7 i 8 węglem. Katalpol może występować samodzielnie lub w postaci estrów. Wyróżnia się dwie pochodne katalpolu: estrową pochodną kwasu p-hydroksybenzoesowego, tzw. katalpozyd i 6-metoksykatalpol [16]. W 1991 roku z babki lancetowatej wyizolowano globularynę: 10-cinnamoylcatalpol (rys. 3) i asperulozyd (rys. 4) [4].

Asperulozyd po raz pierwszy został wyizolowany przez Herisseya z roślin z rodziny Rubiaceae. Sądzono wtedy, że jest to związek występujący tylko w tej grupie roślin. W następnych latach otrzymywano go z innych surowców roślinnych, min. z Daphniphyllum macropodum [15].
W babce lancetowatej zawartość aukubiny i katalpolu jest różna i uzależniona jest od pory zbioru ziela, od populacji babki, a także od fragmentu rośliny, z której są izolowane. I tak zawartość aukubozydu waha się w granicach od 0,3 do 2,5%. Według przeprowadzonych badań zawartość katalpolu w ekstrakcie jest stosunkowo mała i dochodzi maksymalnie do 1,1% [5]. Najwięcej aukubozydu zawierają lipcowe liście (Plantaginis lanceolatae folium) i stanowi on 3,1% suchej masy, natomiast najmniej liście zbierane w kwietniu i maju. Zawartość katalpolu i aukubiny jest zdecydowanie wyższa w liściach mniej rozwiniętych niż w pełni wykształconych [7]. Liście babki zebrane w kwietniu zawierają, w przeciwieństwie do aukubiny, najwięcej katalpolu (1,3% suchej masy). Najmniej tego związku znajduje się natomiast w liściach styczniowych i listopadowych. Irydoidy zawarte są także w korzeniach i nasionach rośliny. W nasionach znajduje się od 0,2 do 2,1% aukubiny. Ilość ta jest uzależniona od pochodzenia rośliny [5].
2.2 Glikozydy fenetylowe
Fenyloetanoidy są to związki, w których połączenia glikozydowe alkoholu fenyloetylowego acylowane są w części cukrowej pochodnymi kwasu cynamonowego. Do tej grupy związków można zaliczyć werbaskozyd (akteozyd, rys. 5) i plantamajozyd (rys.6) [7].


Według Farmakopei Polskiej VIII zawartość sumy pochodnych kwasu orto-dihydroksycynamonowego w wysuszonych liściach babki lancetowatej powinna wynosić 1,5% w przeliczeniu na akteozyd [17]. Do grupy tych związków można także zaliczyć izowerbaskozyd i lawendulofoliozyd [4]. Z liści babki lancetowatej wyizolowano 3,5 g/100g suchej masy akteozydu i 1g/100g suchej masy plantamajozydu [18]. Badane siewki in vitro, kultury korzeni zwykłych i transformowanych za pomocą bakterii Agrobacterium rhizogenes, zawierały niską zawartość werbaskozydu, natomiast plantamajozydu wyizolowano znacznie więcej, jednak był on bardzo niestabilnym chemicznie związkiem. Na tej podstawie uznano, iż werbaskozyd jest związkiem macierzystym plantamajozydu. Glikozydy fenyloetanodiowe są kumulowane w całej roślinie [10].
2.3 Flawonoidy
Flawonoidy są grupą związków chemicznych pochodzenia naturalnego. Występują one w przyrodzie w formie glikozydu jak i aglikonu [19]. Obejmują one grupę związków aromatycznych o podobnych strukturach zwanych polifenolami. Flawonoidy zawierają 15 atomów węgla układających się w ugrupowanie C6-C3-C6.. Znanych jest około 5000 flawonoidów [20]. Aktywność biochemiczna tych związków i ich pochodnych związana jest z obecnością i wzajemnemu oddziaływaniu grup czynnych: hydroksylowych, metoksylowych i glikozydowych. Do grupy flawonoidów zalicza się flawony, flawonole, flawanole, flawanonole, antocyjanidyny, izoflawony i chalkony [13].
Plantaginis lanceolatae folium zawiera takie flawonoidy jak: apigeninę (7-glukozyd apigeniny), luteolinę (3,7-diglukuronid luteoliny) i skutelareinę [5]. Wyizolowano także baikaleinę i pochodne kwasu hydroksycynamonowego: kwas chloro- i neochlorogenowy [18].
2.4 Śluzy, garbniki i fitosterole
Śluzy są naturalnymi koloidowymi mieszaninami wielocukrów i kwasów uronowych. Pęcznieją one w wodzie tworząc żele. Występują w nasionach, korzeniach, liściach i kwiatach roślin. Magazynowane są w komórkach idioblastycznych i zbiornikach śluzowych [22]. Z liści taksonu P. lanceolata wyizolowano około 6,5% polisacharydów, które występują
w charakterze rozpuszczalnych w wodzie śluzów. Do tej grupy związków można zaliczyć śluz małej ciągliwości, ramno-galaktuuronian. Śluz obecny w liściach babki zawiera ponadto L-arabinozę, D-galaktozę, D-glukozę, D-mannozę, L-ramnozę i kwas uronowy. Najwięcej wyodrębniono D-galaktozy (35,8%) i L-arabinozy (26%) [5].
Garbniki są związkami o charakterze polifenoli. Można wyróżnić dwa rodzaje tej grupy związków: garbniki hydrolizujące i niehydrolizujące. Do pierwszej grupy należą galantoidy, czyli związki, w których występują połączenia estrowe i glikozydowe kwasu galusowego [23]. Liście rośliny zawierają 6,5% garbników. W świeżej masie ziela wyodrębniono niewielką ilość substancji lotnych (0,03%) [10].
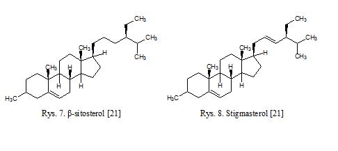
W całym zielu babki, tzn, liściach, korzeniu, nasionach i kwiatach występują także fitosterole. Do tej grupy związków zaliczyć można sitosterol, stigmasterol i kampesterol [7]. Sitosterole są grupą połączeń, które są trudne do rozdzielenia. Określane są jako α-, β-, γ-, δ-, α1-, α2-, α3-sitosterole. Najczęściej występującym związkiem w tej grupie jest β-sitosterol. Rysunek 7 przedstawia budowę chemiczną β-sitosterolu.

Stigmasterol (rys. 8) jest fitosterolem rozpuszczalnym w tłuszczach. Odgrywa ważną rolę w metabolizmie fosforanów i jest substratem w półsyntezie hormonów steroidowych [13]. β-sitosterol i stigmasterol mają zbliżona budowę chemiczną do kortykosteronu
i hydrokortyzonu [21].
3. Działanie biologiczne i zastosowanie babki lancetowatej
Właściwości babki lancetowatej wynikają z synergistycznej aktywności wielu jej składników. W literaturze ukazało się wiele publikacji, w których przedstawione są wyniki badań ekstraktów alkoholowych i wodnych, jak również wyizolowanych substancji czynnych.
3.1 Historia stosowania
Liście babki lancetowatej uznawane były w starożytności za panaceum na wszelkie dolegliwości. Sok z babki stosowano na ukąszenia skorpionów i węży [8]. Plantago lanceolata, jak również inne gatunki, stosowano od niepamiętnych czasów na wielu kontynentach. W Chinach na przykład, zarówno liście jak i nasiona używano do przygotowywania środków wykrztuśnych i moczopędnych. W Grecji i Rzymie nasiona babki stosowano w leczeniu czerwonki [24]. W medycynie ludowej babka ta stosowana była od wieków. Znano jej walory i stosowano jako środek przeciwbakteryjny, przeciwzapalny, w leczeniu kaszlu, a także nieżytów przewodu pokarmowego oraz dróg moczowych. Ze względu na to, iż rosła właściwie w każdych warunkach i na różnych glebach uważano ją za silną roślinę [7]. Babkę stosowano jako środek przeciwkrwotoczny i do leczenia nerek. Św. Hildegarda (1098-1179) używała soku z babki do likwidowania piegów z twarzy i leczenia krwawych wymiotów. Nasiona babki uznawała za lek zapobiegający poronieniom. Już Hildegarda wiedziała, iż babka doskonale leczy rany i stłuczenia, a sok z babki jest świetny na ukąszenia. Na przełomie XV i XVI wieku stosowano babkę lancetowatą w leczeniu gruźlicy, stanów zapalnych oczu, gardła, skóry i jamy ustnej, raka, czyraków i przetok. Friedrich (1845 r.) wykazał przydatność babki przy zaflegmieniu płuc, ponadto przy nieżycie żołądka i dróg moczowych, blednicy, krwawieniu z dziąseł. W XIX i na początku XX wieku w ziołolecznictwie uznawano babkę za zioło działające odtruwająco.
Z liści przyrządzano macerat (ze świeżych liści), napar lub odwar (ze świeżych lub suchych). Przetwory wodne podawano przy wszelkich chorobach układu oddechowego, przy nieżycie górnych dróg oddechowych, żołądka i jelit, a także w przewlekłych zaburzeniach w trawieniu. Na wodzie destylowanej przyrządzano napar z liści suchych lub świeżych, albo macerat
z liści świeżych, które następnie używano do przepłukiwania oczu przy stanach zapalnych.
W naparze i maceracie płukano włosy przy łysieniu, łamliwości i łupieżu. Naparem płukano gardło i jamę ustną przy stanach zapalnych [25]. Liście babki lancetowatej stosowano, zewnętrznie w formie okładów, by ułatwić gojenie się ran, stłuczeń i oparzeń, a także by zmniejszyć obrzęki i ból spowodowane ukąszeniem przez owady [5].
3.2 Działanie składników aktywnych
Głównymi składnikami, którym babka lancetowata zawdzięcza swoje działanie lecznicze są irydoidy. Aukubina i produkty jej rozkładu mają właściwości antybiotyczne, antyhepatotoksyczne, przeciwzapalne, spazmolityczne, antywirusowe [5]. Aukubina ma także właściwości antystresowe. W Japonii zostały opatentowane tabletki przeciwstresowe z dodatkiem tej substancji czynnej. Katalpol wykazuje działanie moczopędne i rozkurczające. Razem z aukubiną są substancjami chroniącymi roślinę przed owadami [7].
Werbaskozyd i plantamajozyd wykazują działanie przeciwbakteryjne, antyoksydacyjne, przeciwzapalne i przeciwnowotworowe. Akteozyd hamując wydzielanie kwasu arachidonowego zapobiega obrzękom ucha u myszy [10]. Badania dotyczące działania etanolowego ekstraktu babki lancetowatej na tchawice i jelito kręte świnki morskiej wykazały, że luteolina, werbaskozyd i plantamajozyd mają właściwości antyspazmolityczne, natomiast inne fenyloetanoidy, m.in. lewandulofoliozyd nie wykazują takiego działania. Wykazano także, iż akteozyd działa antyhistaminowo na jelito kręte świnki. Eliminując histaminę, zapobiega wywoływanym przez nią skurczom mięśni gładkich. Występująca w niewielkim stężeniu (19μg/cm3) luteolina wykazywała silne działanie przeciwskurczowe. Irydoidy, a w szczególności katalpol, także wykazują takie właściwości. Jednak, w porównaniu z luteoliną, ich stężenie musi być bardzo wysokie aby wywoływało antyspazmolityczne działanie [26].
Flawonoidy obecne w liściach babki lancetowatej mogą pełnić podobną rolę jak witaminy. Ze względu na obecność w cząsteczce znacznej liczby grup hydroksylowych, wykazują one działanie antyoksydacyjne. Flawonoidy neutralizują wolne rodniki i chelatują metale. Mają działanie przeciwzapalne, przeciwhistaminowe i przeciwnowotworowe. Luteolina i apigenina mogą oddziaływać bardzo korzystnie również na skórę. Chronią skórę przed szkodliwym promieniowaniem ultrafioletowym, hamują niektóre enzymy i zapobiegają utlenianiu substancji lipidowych [19]. Badania prowadzone na tej grupie związków wykazały, że flawonoidy można także wykorzystywać w produktach kosmetycznych stosowanych do pielęgnacji skóry. Apigenina w porównaniu z innymi flawonoidami wykazuje najbardziej efektywne działanie przeciwnowotworowe. Razem z luteoliną potrafią znacznie zahamować rozwój komórek białaczkowych u ludzi, a także są najskuteczniejsze w leczeniu nowotworu tarczycy. Apigenina hamuje rozrost nowotworu złośliwego skóry- czerniaka. Bajkaleina, flawon także występujący w babce lancetowatej, jest inhibitorem odwrotnej transkryptazy (enzymu wirusowego ułatwiającego wirusom wejście do żywej komórki), przez co wykazuje właściwości przeciwwirusowe [20].
Fitosterole takie jak stigmasterol i β-sitosterol wykazują działanie przeciwzapalne, zmniejszają obrzęk i rumień skóry [21]. Sitosterole powodują obniżenie cholesterolu we krwi, ale także mają działanie przeciwgorączkowe i hamują rozrost nowotworowy (rak okrężnicy, żołądka, piersi, płuc) [13]. Śluzy mają dzialanie powlekające, ochronne i zmiękczające. Podane doustnie nie wchłaniają się z przewodu pokarmowego. Stosowane są zewnętrznie do okładów w stanach zapalnych skóry [22]. Polisacharydy obecne w ekstrakcie Plantago lanceolata zwiększają także fagocytozę granulocytów, powodują także wzrost produkcji interferonu. Działają immunostymulujaco i osłaniająco. Garbniki obecne w roślinie mają działanie ściągające, dają ulgę w miejscu ukąszenia przez owady [5].
3.3 Zastosowanie ziela babki lancetowatej i jej ekstraktów
Babka lancetowata stosowana jest zarówno zewnętrznie jak i wewnętrznie. Wykazano, że łagodzi stany zapalne górnych dróg oddechowych objawiające się bólem gardła i jamy ustnej [26]. Wyciągi heksanowy, etylooctanowy i wodny z Plantaginis lanceolatae folium mają właściwości antybiotyczne [27]. Ekstrakt z babki wykazuje właściwości przeciwrobacze. Sok z liści ziela stosowany jest jako składnik syropów przeznaczonych dla kobiet w ciąży i małych dzieci wzmaga odporność organizmu. Jest składnikiem cukierków przeciwkaszlowych. Łagodzi bóle w klatce piersiowej, powstrzymuje kaszel i świszczący oddech [7]. Sok z liści stabilizowany etanolem stosuje się w astmie i chorobach górnych dróg oddechowych [5]. Z suchego ziela babki produkuje się różne herbatki ziołowe, a także kompozycje ziołowe do leczenia przewlekłych ran [29].
Z młodych liści babki lancetowatej przyrządza się sałatki lub gotuje się je jak kapustę. Taka sałatka nie tylko wspaniale smakuje, ale także dostarcza organizmowi witamin i soli mineralnych. Suszone liście dodawane są do tytoniu fajkowego i do herbat. Ziele babki jest także bardzo dobrym składnikiem paszowym zwierząt hodowlanych [7].
W kosmetyce napar zmieszany z rozcieńczonym etanolem stosowany jest jako lotion do cery trądzikowej i łojotokowej. Świeże liście i sok wyciśnięty z liści babki można stosować do kremów i maseczek kosmetycznych przeznaczonych do cery problematycznej [30]. Ekstrakty z babki lancetowatej stosowane są głównie do produkcji żeli, lotionów, kremów i maseczek stosowanych do cery problematycznej, tłustej i trądzikowatej [3].
4. Czynniki wpływające na skład i zawartość związków czynnych w roślinie
Zawartość substancji czynnych w surowcu roślinnym, a także ich skład może być różny. Uzależnione jest to od wielu czynników, głównie środowiskowych. Skład może się różnić w zależności od obszaru wzrostu rośliny: rodzaju gleby, warunków pogodowych, a także od czasu zbioru surowca i przetwórstwa. Warunki przechowywania zebranych surowców i rozpuszczalniki używane do ekstrakcji substancji czynnych będą miały znaczący wpływ na ostateczny skład ekstraktu. Ważnym czynnikiem jest także część rośliny, z której wyizolowuje się składniki [21].
Czynniki środowiskowe mają największy wpływ na zawartość w roślinie składników wtórnej przemiany materii. Do tej grupy należą substancje odpowiedzialne za ochronę surowca przed działaniem związków chemicznych- herbicydów, skażeniem środowiska naturalnego, a także chroniących rośliny przed pasożytami i grzybami.
Badania przeprowadzone przez Hornera i Bella potwierdzają, że ziele Babki lancetowatej jest w stanie uodpornić się na niekorzystne warunki środowiskowe. Rośliny rosnące na terenie chemicznie skażonym fluorem wykształciły tolerancję na ten pierwiastek. Zauważono także, iż surowce te przeniesione w miejsce nie narażone na związki tego pierwiastka powodują spowolnienie wzrostu rośliny, natomiast rośliny, które przesadzono na stanowiska narażone na działanie fluoru i nie zdążyły wykształcić tolerancji, rosną znacznie wolniej [31].
W 2008 roku wykonano badania dotyczące zachowania babki lancetowatej, narażonej na działanie grzybów z rodziny Podosphaera plantaginis. Rośliny zdeterminowane genetycznie na konkretny rodzaj patogenu są na niego w pełni odporne. Plantago lanceolata nie zaszczepiona wykazywała natomiast odporność na wszystkie szczepy patogenu, ale w mniejszym stopniu. Wyniki tych badań potwierdzają, iż roślina narażona na jakiekolwiek czynniki zewnętrzne potrafi dostosować swój metabolizm i wykształcić takie substancje, aby jej populacja nie była zagrożona wyginięciem [32].
Oprócz warunków środowiskowych ważnym czynnikiem wpływającym na różnorodność surowców roślinnych i na plonowanie babki lancetowatej jest nawożenie mineralne. Do niedawna ziele Plantago lanceolata pozyskiwano ze stanu naturalnego, lecz ze względu gwałtowny spadek zasobów naturalnych na skutek działania herbicydów wprowadzono tą roślinę do upraw polowych. Wykazano, iż najlepiej jest prowadzić jednoroczną lub dwuletnią uprawę, ponieważ w trzecim roku dochodzi do zdecydowanej obniżki plonowania babki. Uprawa babki bez stosowania nawozów ma istotny wpływ na zmniejszenie ilości wytwarzanych liści, jednak mają one największą zawartość substancji czynnych (w tym aukubiny). W miarę wzrostu ilości podawanego nawozu, liście babki były coraz dłuższe i było ich znacznie więcej, co jednak powodowało większą podatność na porażenie przez grzyby chorobotwórcze [8].
Rozwój biotechnologii roślin umożliwił prowadzenie kultur in vitro babki lancetowatej. Wytworzono dzięki temu kultury tkankowe i komórkowe, w których możliwa jest kontrola biosyntezy metabolitów o aktywności leczniczej. Roślina taka może produkować taką samą lub większą ilość substancji czynnej niż surowiec macierzysty. Kultury tkankowe i komórkowe pozwalają na wybiórczą produkcję określonych składników w warunkach laboratoryjnych. Jest to proces w pełni kontrolowany niezależnie od klimatu, pogody i pory roku, a warunki uprawy są takie same dla wszystkich roślin [11].
PODSUMOWANIE
Powyższy przegląd literaturowy potwierdza, iż ekstrakty z Babki lancetowatej są dobrym i pożądanym surowcem na rynku kosmetycznym. Producenci kosmetyków wzbogacają swoje produkty w ekstrakt z tej rośliny, ponieważ dostrzegają jego skuteczność i pozytywne działanie na skórę.
LITERATURA
[1] M. Sikora, Surowce roślinne. Powrót do natury, Rynek Chemii Gospodarczej i Kosmetyków, (2005), 10, 10-13
[2] J. Jambor, Zielarstwo w Polsce – stan obecny i perspektywy rozwoju, Postępy Fitoterapii, (2007), 2, 78-81
[3] R. Glinka, Receptura kosmetyczna. Wyd. I, MA Oficyna Wydawnicza, Łódź 2003, 26-28, 34-35
[4] N. Rønsted, E. Göbel, H. Franzyk, S. R. Jensen, C. E. Olsen, Chemotaxonomy of Plantago. Iridoid glucosides and caffeoyl phenylethanoid glycosides, Phytochemistry, (2000), 55, 337-348
[5] E. Andrzejewska-Golec, Babka lancetowata-tradycja i współczesne zastosowania w lecznictwie, Panacea, (2008), 3(24), 9-11
[6] M. Klimko, K. Idzikowska, M. Truchan, A. Kreft, Seed sculpture of polish species of the genus Plantago L., Accta Societatis Botanicorum Poloniae, (2004), 73(2), 103-111
[7] A. Parus, A. Grys, Babka lancetowata (Plantago lanceolata L.) – właściwości lecznicze, Postępy Fitoterapii, (2010), 3, 162-165
[8] B. Kołodziej, Wpływ nawożenia mineralnego na plonowanie babki lancetowatej (Plantago lanceolata L.), Acta Agrophysica, (2006), 8(3), 637-647
[9] H. Strzelecka, J. Kowalski, Encyklopedia zielarstwa i ziołolecznictwa. Wyd. PWN, Warszawa 2000, 42-43
[10] F. Fons, D. Tousch, S. Rapior, A. Gueiffier, J. L. Roussel, A. Gargadennec, C. Andary, Phenolic profiles of untransformed and hairy root cultures of Plantago lanceolata, Plant Physiol. Biochem., (1999), 37(4), 291-296
[11] L. Skrzypczak, J. Budzianowski, A. Budzianowska , Babka lancetowata w kulturze in vitro, Panacea, (2009), 2(27), 12-13
[12] T. Wolski, D. Pszczoła, T. Baj, Budleja Davida (Buddleja davidii Franch.) – ozdobna roślina lecznicza o wielokierunkowym działaniu farmakologicznym, Postępy Fitoterapii, (2006), 2, 75-82
[13] T. Wolski, T. Baj, A. Ludwiczuk, K. Głowniak, R. Niedźwiecki, Hakorośl rozesłana (Harpagophytum procumbens DC.) – roślinny surowiec o wielokierunkowym działaniu farmakologicznym, Postępy Fitoterapii, (2010), 1, 13-22
[14] R. Taskova, L. Evstatiieva, N. Handjieva, S. Popov, Iridoid Patterns of Genus Plantago L. and Their Systematic Significance, Z. Naturforsch., (2002), 57c, 42-50
[15] A. R. Trim, R. Hill, The preparation and properties of aucubin, asperuloside and some related glycosides, Biochem. J., (1951), 50, 310-319
[16] R. B. Duff, J. S. D. Bacon, C. M. Mundie, V. C. Farmer, J. D. Russell, A. R. Forrester, Catalpol and methylcatalpol: naturally occurring glycosides in Plantago and Buddleia species, Biochem. J., (1964), 96, 1-5
[17] Farmakopea Polska. Wyd. VIII, tom III, Urząd Rejestracji Produktów Leczniczych, Warszawa 2008, 2703-2704
[18] E. Andrzejewska-Golec, Babka zwyczajna. Pospolity chwast i roślina lecznicza, Panacea, (2010), 2(31), 14-17
[19] A. Oborska, J. Arct, M. Mojski:, Kosmetyczne zastosowanie flawonoidów – aspekty praktyczne, Wiadomości PTK, (2001), 4(3/4), 21-26
[20] E. Brand-Garnys, H. Denzer, H. Meijer, H. M. Brand, Flawonoidy i możliwości ich zastosowania, Wiadomości PTK, (2004), 7(1/2), 22-27
[21] A.C. Dweck, The internal and external use of medicinal plants, Clinics in Dermatology, (2009), 27, 148-158
[22] M. Szcześniak, Farmakoterapia. Śluzy i gumy, Świat farmacji, [online – dostęp: 31 marzec 2011]. Dostępny w Internecie: http://www.wydawnictwoapteka.pl/files/UserFiles/10_sluzy.pdf
[23] M. Mrukot, Receptariusz kosmetyczny. Małopolska Wyższa Szkoła Zawodowa w Krakowie, Kraków 2004, 50-53
[24] I. Gumowska, Deptane po drodze. Wyd. PTTK „Kraj”, Warszawa 1989, 16-18
[25] H. Różański, Plantago lanceolata Linne – Babka lancetowata w XIX wieku, [online – dostęp: 31 marzec 2011]. Dostępny w Internecie: http://rozanski.li/?p=863
[26] H. Feeler, E. J. Verspohl, Antispasmodic activity of an extract from Plantago lanceolata L. and some isolated compounds, Phytomed, (2007), 14, 404-416
[27] E. Hołderna-Kędzia, B. Kędzia, A. Mścisz, Poszukiwanie wyciągów roślinnych o wysokiej aktywności antybiotycznej, Postępy Fitoterapii, (2009), 1, 3-11
[28] M. Adams, C. Berset, M. Kessler, M. Hamburger, Medicinal herbs for the treatment rheumatic disorders- A survey of European herbals from the 16th and 17th century, Journal of Ethnopharmacology, (2009), 121, 343-359
[29] G. Matysik, K. Głowniak, Kompozycja ziołowa do leczenia przewlekłych ran, PL198268, 30.06.2008 WUP 06/08
[30] B. Hlava, F. Stary, F. Pospisik, Rośliny kosmetyczne. Państwowe Wydawnictwo Rolnicze i Leśne, Warszawa 1984, 170-171
[31] J. M. Horner, J. N. B. Bell, Evolution of fluoride tolerance in Plantago lanceolata, The Science of the Total Environment, (1995), 159, 163-168
[32] A. S. Jump, R. Marchant, J. Peñuelas, Environmental change and the option value of genetic diversity, Trends in Plant Science, (2008), 14(1), 51-58
*Instytut Chemii i Technologii Organicznej, Politechnika Krakowska, Kraków
